一、天平量筒法
1、常規法測固體密度
實驗原理:ρ= m/v
實驗器材:天平(砝碼)、量筒、燒杯、滴管、線、水、石塊
實驗步驟:
(1)調節好的天平,測出石塊的質量m;
(2)在量筒中倒入適量的水,測出水的體積V1
(3)將石塊用細線拴好,放在盛有水的量筒中,(排水法)測出總體積V2;
實驗結論:
2、天平測石塊密度
方案1(燒杯、水、細線)
實驗原理:ρ= m/v
實驗器材:天平、水、空瓶、石塊
實驗步驟:1、用天平測石塊質量m1
2、瓶中裝滿水,測出質量m2
3、將石塊放入瓶中,溢出一部分水后,測出瓶、石塊及剩余水的質量m 3
推導及表達式:m排水=m1+m2-m3
V石=V排水 =(m1+m2-m3)/ρ水
ρ石=m 1/V石 =m 1ρ水/(m1+m2-m3)
方案2(燒杯、水、細線)
實驗原理:ρ= m/v
實驗器材:燒杯、天平、水、細線 、石塊
實驗步驟:
1、在燒杯中裝適量水,用天平測出杯和水的總質量m1。
2、用細線系住石塊浸沒入水中,使石塊不與杯底杯壁接觸,用天平測總質量 m2.
3、使石塊沉入水底,用天平測出總質量m3
推導及表達式:m石=m3-m1
V石=V排=m排/ρ水=(m2-m1)/ρ水
ρ石=m石/V石 =(m3-m1)ρ水/(m2-m1)
3、等體積法測液體密度
實驗器材:天平(含砝碼)、刻度尺、燒杯(無刻度)、適量的水、足量的牛奶、細線。
實驗步驟:
1.用調節好的天平,測出空燒杯的質量m0;
2.將適量的水倒入燒杯中,用天平測出燒杯和水的總質量m1,用刻度尺量出水面達到的高度h(或用細線標出水面的位置);
3.將水倒出,在燒杯中倒入牛奶,使其液面達到h處(或達到細線標出的位置),用天平測出燒杯和牛奶的總質量m2。
實驗結果:因為水和牛奶的體積相等,V牛=V水

4、 等質量法測液體密度
實驗器材:天平、刻度尺、兩個相同的燒杯(無刻度)、適量的水、足量的牛奶、滴管。
實驗步驟:
(1)調節天平,將兩個相同的燒杯分別放在天平的左右盤上;
(2)將適量的水和牛奶分別倒入兩個燒杯中,直至天平再次平衡為止;
(3)用刻度尺分別測量出燒杯中水面達到的高度h水和牛奶液面達到的高度h牛
實驗結果:
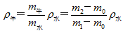
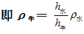
∵ 因為水和牛奶的質量相等,
m牛=m水
∴ ρ牛V牛=ρ水V水
ρ牛h牛S=ρ水h水S
ρ牛h牛=ρ水h水
二、利用浮力測固體密度:
1、浮力法——天平
器材:天平、金屬塊、水、細繩
實驗步驟:
1)往燒杯裝滿水,放在天平上稱出質量為 m1;
2)將金屬塊輕輕放入水中,溢出部分水,再將燒杯放在天平上稱出質量為m2;
3) 將金屬塊取出,把燒杯放在天平上稱出燒杯和剩下水的質量m3。
表達式:ρ=(m2-m3)/ 【(m1-m3)/ ρ水】=ρ水(m2-m3)/(m1-m3)
2.浮力法----量筒
器材:木塊、水、細針、量筒
實驗步驟:
1)、往量筒中注入適量水,讀出體積為V1;
2)、將木塊放入水中,漂浮,靜止后讀出體積 V2;
3)、用細針插入木塊,將木塊完全浸入水中,讀出體積為V3。
表達式:ρ=ρ水(V2-V1)/(V3-V1)